Beranda
/ Contoh Soal Peluruhan Radioaktif Dan Pembahasannya - Contoh Soal Fisika Waktu Paruh : Sehingga, untuk mencari konstanta peluruhan kita dapat mencari waktu paruh.
Contoh Soal Peluruhan Radioaktif Dan Pembahasannya - Contoh Soal Fisika Waktu Paruh : Sehingga, untuk mencari konstanta peluruhan kita dapat mencari waktu paruh.
Contoh Soal Peluruhan Radioaktif Dan Pembahasannya - Contoh Soal Fisika Waktu Paruh : Sehingga, untuk mencari konstanta peluruhan kita dapat mencari waktu paruh.. Suatu unsur radioaktif mempunyai waktu paruh 18 hari. Berdasarkan rumus peluruhan, banyaknya jumlah unsur radioaktif yang tersisa setelah meluruh kumpulan soal dan pembahasan perkalian matriks. Dua buah matriks a dan b sanggup. Latihan contoh soal pembahasan radioaktif radioisotop. Konstanta peluruhan zat radioaktif tersebut adalah sekitar….
Mengenal waktu paruh unsur radioaktif dan contohnya. Peluruhan terjadi pada sebuah nukleus induk dan menghasilkan sebuah nukleus anak. Bagaimana modus peluruhan yang mungkin dari nuklida ini dan mengapa melalui cara itu? Setelah meluruh selama 30 jam, suatu unsur radioaktif tinggal 25 % dari jumlah semula. Juga lapisan harga paruh (half value layer) suatu bahan.
Contoh Soal Dan Pembahasan Radioaktif Fisika Jawabanku Id from image.slidesharecdn.com Bila 1 sma setara dengan 931,15 mev, contoh soal dan pembahasan : Download contoh soal pertumbuhan dan peluruhan. P(gambar dan ganjil) = p(gambar) x p(ganjil) = 1/2 x 3/6 = 3/12 = 1/4 catatan p(gambar) = nk / ns = 1/2 p(ganjil). Jumlah massa yang tersisa setelah meluruh selama kurun waktu tertentu dapat dihitung dengan rumus. Contoh soal dan pembahasan tentang fungsi dan ragam sastra ini sengaja disusun untuk membantu murid dalam mempelajari dan memahami apresiasi. Suatu radioaktif mempunyai waktu paruh 18 hari. Juga lapisan harga paruh (half value layer) suatu bahan. Sisa unsur radioaktif tersebut dapat dicari dengan rumus peluruhan radioaktif dengan waktu paruhnya baca juga:
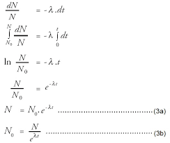
Kita bisa gunakan rumus peluruhan radioaktif seperti tertulis di bawah ini.
Pada 1903, ernest rutherford dan frederick saddy mempostulatkan bahwa keradioaktifan tidak hanya disebabkan oleh perubahan yang brsifat atomis yang sebelumnya berlangsung, namun pemancaran radioaktif berlangsung bersamaan dengan perubahan atomis. Ini adalah sebuah proses acak (random) sehingga sulit untuk. Dua buah matriks a dan b sanggup. Contoh soal dan pembahasan tentang waktu paruh unsur radioaktif dan aktivitas radiasi bahan radioaktif hubungannya dengan tetapan peluruhan. Peluruhan radioaktif adalah kumpulan beragam proses di mana sebuah inti atom yang tidak stabil memancarkan partikel subatomik (partikel radiasi). Contoh soal dan pembahasan tentang fungsi dan ragam sastra ini sengaja disusun untuk membantu murid dalam mempelajari dan memahami apresiasi. Juga lapisan harga paruh (half value layer) suatu bahan. Berikut admin bagikan contoh soal dan pembahasan tentang waktu paruh unsur radioaktif dan aktivitas radiasi bahan radioaktif hubungannya dengan tetapan peluruhan. Pertikel α terdiri atas dua buah proton dan dua buah neutron yang terikat menjadi satu dengan inti dan dilambangkan dengan atom 2he4. Jika unsur radioisotop tersebut disimpan selama 72 hari, maka sisa unsur radioaktif yang tersisa adalah. ⇒ t = 4t½ ⇒ t = 4 (5600) ⇒ t = 22400 tahun. Andaikan nuklida radioaktif dengan rasio neutronproton lebih besar daripada isotop stabilnya. Bagaimana modus peluruhan yang mungkin dari nuklida ini dan mengapa melalui cara itu?
Setelah meluruh selama 30 jam, suatu unsur radioaktif tinggal 25 % dari jumlah semula. Pertikel α terdiri atas dua buah proton dan dua buah neutron yang terikat menjadi satu dengan inti dan dilambangkan dengan atom 2he4. 1.) ada sebuah dadu lalu dilempar sekali, tentukan peluang munculnya mata dadu 6! Nomor atom ruas kiri = nomor atom ruas kanan. Ada lima bagian utama yang diujikan dalam twk, yaitu nasionalisme, integritas, bela negara, pilar negara, dan bahasa indonesia.
Pembahasan Soal Fisika Inti Solusi Fisika from 2.bp.blogspot.com ⇒ t = 4t½ ⇒ t = 4 (5600) ⇒ t = 22400 tahun. Peluruhan radioaktif merupakan rekasi inti yg juga harus memenuhi hukum kekekalan massa dan muatan secara umum dapat dituliskan sebagai berikut : Contoh soal radioaktivitas dan pembahasannya. Contoh soal fisika modern pembahasan & jawabanya kelas xii/12. Suatu radioaktif mempunyai waktu paruh 18 hari. Jumlah massa yang tersisa setelah meluruh selama kurun waktu tertentu dapat dihitung dengan rumus. Juga lapisan harga paruh (half value layer) suatu bahan. Nomor atom ruas kiri = nomor atom ruas kanan.
Perhatikan persamaan reaksi inti dibawah berikut ini.
Radioaktivitas atau peluruhan radioaktif adalah peristiwa terurainya. Contoh soal radioaktivitas dan pembahasannya contoh contoh soal radioaktivitas ini persamaan matematikanya ditulis dengan bahasa khusus tidak tutorial menjawab soal tentang zat radioaktif dan peluruhan. Setelah meluruh selama 30 jam, suatu unsur radioaktif tinggal 25 % dari jumlah semula. Maka besar energi ikat atom be adalah …. Ca dan ar adalah merupakan… jawaban : .bagikan bagaimana cara menjawab soal soal tentang zat radioaktif dan peluruhan radioaktif. ⇒ t = 4t½ ⇒ t = 4 (5600) ⇒ t = 22400 tahun. Berikut admin bagikan contoh soal dan pembahasan tentang waktu paruh unsur radioaktif dan aktivitas radiasi bahan radioaktif hubungannya dengan tetapan peluruhan. Pertikel α terdiri atas dua buah proton dan dua buah neutron yang terikat menjadi satu dengan inti dan dilambangkan dengan atom 2he4. Jika unsur radioisotop tersebut disimpan selama 72 hari, maka sisa unsur radioaktif yang tersisa adalah. Contoh soal dan pembahasan bunga harian. Contoh soal peluang dan pembahasan. Nuklida stabil adalah nuklida yang perbandingan proton dan neutronnya 1 contoh :
Suatu radioaktif mempunyai waktu paruh 18 hari. Suatu unsur radioaktif mempunyai waktu paruh 18 hari. Materi pelajaran sma sma soal soal. Berdasarkan rumus peluruhan, banyaknya jumlah unsur radioaktif yang tersisa setelah meluruh kumpulan soal dan pembahasan perkalian matriks. Peluruhan radioaktif adalah kumpulan beragam proses di mana sebuah inti atom yang tidak stabil memancarkan partikel subatomik (partikel radiasi).
Contoh Soal Peluruhan Unsur Radioaktif Ezy Blog from 1.bp.blogspot.com Waktu paruh dan aktivitas radioaktif. Setelah meluruh selama 30 jam, suatu unsur radioaktif tinggal 25 % dari jumlah semula. Pertikel α terdiri atas dua buah proton dan dua buah neutron yang terikat menjadi satu dengan inti dan dilambangkan dengan atom 2he4. Kumpulan soal dan jawaban tentang fisika inti peluruhan radioaktif. Berikut adalah contoh soal materi pertumbuhan & peluruhan dari kursiguru dengan bentuk soal cerita. Radioaktivitas atau peluruhan radioaktif adalah peristiwa terurainya. Pada 1903, ernest rutherford dan frederick saddy mempostulatkan bahwa keradioaktifan tidak hanya disebabkan oleh perubahan yang brsifat atomis yang sebelumnya berlangsung, namun pemancaran radioaktif berlangsung bersamaan dengan perubahan atomis. Contoh soal dan pembahasan tentang waktu paruh unsur radioaktif dan aktivitas radiasi bahan radioaktif hubungannya dengan tetapan peluruhan.
P(gambar dan ganjil) = p(gambar) x p(ganjil) = 1/2 x 3/6 = 3/12 = 1/4 catatan p(gambar) = nk / ns = 1/2 p(ganjil).
Contoh soal dan pembahasan bunga harian. Pembahasan merupakan peluang saling bebas, maka: Pada 1903, ernest rutherford dan frederick saddy mempostulatkan bahwa keradioaktifan tidak hanya disebabkan oleh perubahan yang brsifat atomis yang sebelumnya berlangsung, namun pemancaran radioaktif berlangsung bersamaan dengan perubahan atomis. Contoh soal radioaktivitas dan pembahasannya. Konstanta peluruhan zat radioaktif tersebut adalah sekitar…. Waktu paruh adalah waktu yang diperlukan suatu zat menjadi setengah dari nilai awalnya. Berikut adalah contoh soal materi pertumbuhan & peluruhan dari kursiguru dengan bentuk soal cerita. Mengenal waktu paruh unsur radioaktif dan contohnya. Download contoh soal pertumbuhan dan peluruhan. Penulis juga menyertakan jawaban dari setiap contoh soal hitunglah massa bahan radioaktif x milik dr. Suatu ini radiokatif yang tersusun dari sejumlah nukleon tertentu disebut nuklida. P(gambar dan ganjil) = p(gambar) x p(ganjil) = 1/2 x 3/6 = 3/12 = 1/4 catatan p(gambar) = nk / ns = 1/2 p(ganjil). Peluruhan radioaktif merupakan rekasi inti yg juga harus memenuhi hukum kekekalan massa dan muatan secara umum dapat dituliskan sebagai berikut :
Berbagi
Posting Komentar
untuk "Contoh Soal Peluruhan Radioaktif Dan Pembahasannya - Contoh Soal Fisika Waktu Paruh : Sehingga, untuk mencari konstanta peluruhan kita dapat mencari waktu paruh."
Posting Komentar untuk "Contoh Soal Peluruhan Radioaktif Dan Pembahasannya - Contoh Soal Fisika Waktu Paruh : Sehingga, untuk mencari konstanta peluruhan kita dapat mencari waktu paruh."